Menu

Failure criteria

Calculations of user specified failure criteria on a layer by layer basis are available in CivilFEM Generic Material. The available criteria are: maximum stress (MX STRESS), HOFFMAN and HILL. During each analysis, a failure criteria can be selected; failure indices are calculated and printed for every integration point. The failure indices are evaluated on integration point coordinate system (which includes the element axis and layer angle of composites if required)
 
A simple description of these failure criteria is given below:
 
1. Maximum Stress Criterion
 
At each integration point, Marc calculates six failure indices FI. The six failure indices are given by:
 
 
 
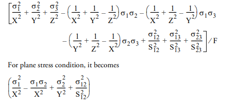
2. Hill Failure Criterion
 
Assumptions:
 
a. Orthotropic materials only
b. Tensile and compressive behavior are identical
 
At each integration point, Marc calculates the failure index FI as follows
 
 
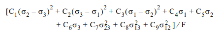
3. Hoffman Failure Criterion
 
Hoffman criterion is essentially Hill criterion modified to allow unequal maximum allowable stresses in tension and compression. At each integration point, Marc the failure index FI calculates: